
Kỳ thi Đánh giá Tư duy năm 2025 đợt 3 - đợt cuối của năm 2025 được tổ chức trong 4 kíp thi (từ ngày 26/4 – 27/4) với gần 24.000 thí sinh đăng ký dự thi tại 30 điểm thi, trong đó 17 điểm thi tại khu vực Hà Nội và 13 điểm thi ở các địa phương, như: Lào Cai, Thái Nguyên, Hưng Yên, Hải Dương, Hải Phòng, Quảng Ninh, Nam Định, Thái Bình, Ninh Bình, Thanh Hóa, Nghệ An, Hà Tĩnh, Đà Nẵng.
TSA đợt 3 - điểm cao nhất thuộc về thí sinh đến từ Trường THPT Đô Lương 3 (Nghệ An) với 91,29/100 điểm. Đợt thi này có 2 thí sinh đạt trên 90 điểm; 106 thí sinh đạt trên 80 điểm; 1.257 thí sinh đạt trên 70 điểm. Điểm trung bình của đợt 3 năm 2025 là 54,89/100.
Phổ điểm thi Đánh giá Tư duy đợt 3 năm 2025 như sau:

Phổ điểm thi Đánh giá Tư duy cao nhất của cả 3 đợt năm 2025:

Kết quả kỳ thi Đánh giá Tư duy được sử dụng trong công tác xét tuyển đại học năm 2025 với hơn 40 trường đăng ký sử dụng. Phương án quy đổi mức điểm chuẩn (điểm trúng tuyển) giữa các đầu điểm khác nhau (gồm điểm thi tốt nghiệp THPT, điểm thi đánh giá tư duy, điểm xét tuyển tài năng) dự kiến sẽ được công bố sau khi có điểm thi tốt nghiệp THPT năm 2025.
Công thức tính điểm xét tuyển theo điểm thi đánh giá tư duy như sau:
Điểm xét tuyển = (Điểm thi TSA + Điểm thưởng) + Điểm ưu tiên.
Trong đó: Điểm thưởng dành cho thí sinh có chứng chỉ ngoại ngữ theo quy định của Đại học Bách khoa Hà Nội; Điểm ưu tiên cho đối tượng, khu vực theo quy định của Bộ GD&ĐT.
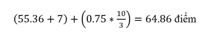
Ví dụ: Thí sinh A đạt điểm thi đánh giá tư duy là 55,36, có chứng chỉ IELTS đạt 8.0 (thưởng 7 điểm), thí sinh thuộc khu vực 1 (+0.75 theo thang 30) thì điểm xét tuyển theo điểm thi đánh giá tư duy sẽ là:

Thí sinh B đạt điểm thi đánh giá tư duy là 73.68, có chứng chỉ IELTS đạt 6.5 (thưởng 4 điểm), thí sinh thuộc khu vực 2 nông thôn (+0.5 theo thang 30) thì điểm xét tuyển theo điểm thi TSA sẽ là:

Bắt đầu từ năm 2025, Đại học Bách khoa Hà Nội sẽ cấp giấy chứng nhận kết quả thi cho thí sinh dạng ký số điện tử và được gửi trực tiếp vào tài khoản đăng ký dự thi của thí sinh trên hệ thống.
Thí sinh truy cập tài khoản đã đăng ký tại địa chỉ https://tsa.hust.edu.vn để xem kết quả thi đợt 3 của mình.
PV (t/h)


























