# thi THPT quốc gia 2018

Hà Nội: Phụ huynh “vật vờ” chờ con tại các điểm thi THPT quốc gia 2018
Trong khi các “sỹ tử” vào thi môn văn, kỳ thi THPT quốc gia 2018, thì bên ngoài các điểm thi thuộc địa bàn TP. Hà Nội, hàng loạt phụ huynh “án ngữ” tại các quán trà đá, ngồi tại vỉa hè, lề đường… chờ đón tin tốt lành từ con em mình.

Gia Lâm (Hà Nội) Bộ trưởng Bộ GD&ĐT thăm điểm thi tại trường THPT Yên Viên
Sáng nay, Bộ trưởng Bộ Giáo dục và Đào tạo (GDĐT) Phùng Xuân Nhạ đã xuống điểm thi THPT Yên Viên (Gia Lâm, Hà Nội), thăm hỏi phụ huynh, nhắc thí sinh thực hiện đúng quy chế và chúc các em làm bài xuất sắc.

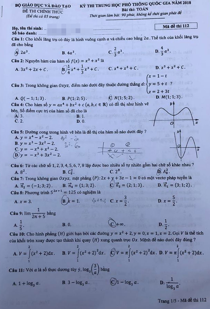
Đề Toán thi THPT quốc gia 2018
Đề Toán gồm 5 câu, trong đó câu 5 khó nhất chiếm 1 điểm.

Ngày thi thứ nhất kỳ thi THPT quốc gia năm 2018: An toàn, nghiêm túc, đúng quy chế
Đánh giá chung tình hình ngày thi đầu tiên, BCĐ thi THPT quốc gia 2018 cho biết, kết thúc ngày thi thứ nhất các Điểm thi trên cả nước tổ chức thi an toàn, nghiêm túc và đúng Quy chế.











