
Ngày 30/3, Sở GD&ĐT TP. Đà Nẵng ban hành quyết định về việc giao chỉ tiêu kế hoạch trẻ, học sinh, học viên và chỉ tiêu tuyển sinh năm học 2026 - 2027.
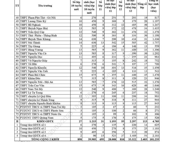
Theo đó, năm học 2026 - 2027, TP. Đà Nẵng có 76 trường công lập gồm: Trường THPT, Trường THPT chuyên, Trường Phổ thông dân tộc nội trú THCS và Phổ thông dân tộc nội trú THPT trên địa bàn thành phố tuyển 38.690 chỉ tiêu vào lớp 10, biên chế thành 871 lớp. Khối giáo dục thường xuyên tuyển mới 1.215 học viên lớp 10, biên chế thành 27 lớp.
Được biết, năm học 2025 - 2026, TP. Đà Nẵng có gần 46.000 học sinh lớp 9. Kỳ thi tuyển sinh vào lớp 10 năm học 2026 - 2027 của TP. Đà Nẵng sẽ diễn ra vào các ngày từ 22 - 25/5 với 3 môn thi: Ngữ văn, Toán và Ngoại ngữ.
Chỉ tiêu cụ thể của từng trường:


Lê Dũng

























