
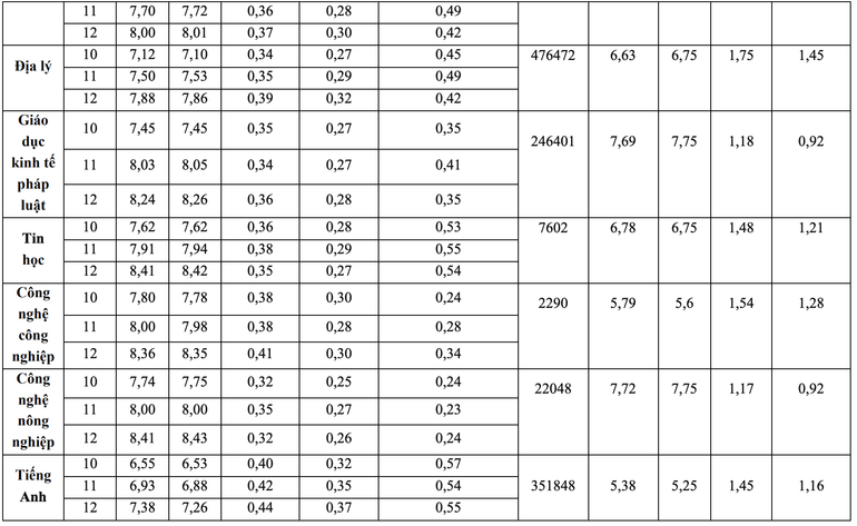
Ngày 22/7, Bộ Giáo dục và Đào tạo công bố bảng tương quan giữa điểm các môn thi tốt nghiệp trung học phổ thông (THPT) năm 2025 với điểm trung bình các môn học trung học phổ thông.
Bảng này so sánh tương quan giữa kết quả thi tốt nghiệp THPT năm 2025 và điểm học tập 3 năm lớp 10, 11, 12 ở bậc phổ thông (điểm học bạ) của học sinh lớp 12 trên cả nước.
Bảng tương quan cho thấy, ở cả 12 môn học, điểm trung bình thi tốt nghiệp THPT đều thấp hơn điểm trung bình học bạ của học sinh.
Một số môn điểm thi tốt nghiệp THPT thấp hơn khá nhiều so với điểm học bạ. Như môn Toán, điểm trung bình tốt nghiệp của thí sinh là 4,78 điểm, trong khi điểm trung bình học bạ của học sinh trong 3 năm học là 7,03 điểm; có nghĩa điểm thi tốt nghiệp THPT đang thấp hơn điểm học bạ tới 2,25 điểm.
Ở môn Tiếng Anh, điểm trung bình thi tốt nghiệp THPT cũng thấp hơn điểm học bạ của học sinh 1,57 điểm. 

Trong nhiều năm qua, Bộ Giáo dục và Đào tạo thực hiện đối sánh điểm thi tốt nghiệp THPT của thí sinh với điểm học bạ. Một trong những mục đích của việc đối sánh là nhằm nhận diện khách quan, toàn diện chất lượng dạy và học, đặc biệt là tính thực chất trong đánh giá kết quả học tập ở nhà trường phổ thông.
Theo Bộ Giáo dục và Đào tạo, trường hợp có sử dụng kết quả học THPT để tuyển sinh, các cơ sở đào tạo căn cứ số liệu thống kê về tương quan giữa điểm các môn thi tốt nghiệp THPT năm 2025 với điểm trung bình các môn học THPT để xây dựng và công bố quy đổi tương đương điểm trúng tuyển, ngưỡng đầu vào cho từng chương trình, ngành, nhóm ngành hoặc lĩnh vực đào tạo.
Theo báo Nhân Dân


























