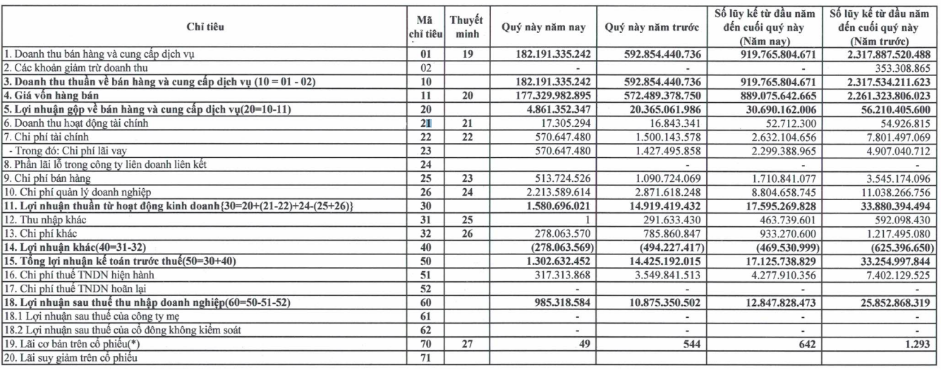
CTCP Thép tấm lá Thống Nhất (UPCoM: TNS) vừa công bố báo cáo tài chính quý III/2025, ghi nhận doanh thu thuần đạt 182,2 tỷ đồng, giảm 69% so với cùng kỳ năm trước.
Công ty cho biết, thị trường thép trong quý III/2025 trải qua giai đoạn đầy thách thức, chịu tác động mạnh từ việc Mỹ siết chặt thuế quan và các biện pháp phòng vệ thương mại từ nhiều quốc gia, khiến căng thẳng thương mại leo thang. Diễn biến này dẫn đến sản lượng sản xuất và sản lượng tiêu thụ cùng giảm 57%, kéo theo doanh thu bán hàng và cung cấp dịch vụ sụt giảm mạnh.
Sau khi trừ các chi phí, lợi nhuận sau thuế của Thép Thống Nhất chỉ đạt 985,3 triệu đồng, giảm 91% so với cùng kỳ năm 2024. Đây cũng là mức lợi nhuận quý thấp nhất trong 2 năm trở lại đây.

Lũy kế 9 tháng năm 2025, doanh thu và lợi nhuận sau thuế của doanh nghiệp lần lượt đạt 919,8 tỷ đồng (-60,3% YoY) và 12,85 tỷ đồng (-50,3% YoY).
Tính đến ngày 30/9/2025, tổng tài sản của TNS đạt 288 tỷ đồng, giảm 36% so với đầu năm. Trong đó, hàng tồn kho giảm mạnh nhất, chỉ còn 53,5 tỷ đồng, trong khi thời điểm đầu năm ghi nhận hơn 189 tỷ đồng.
Ở phía bên kia bảng cân đối kế toán, tổng nợ phải trả ở mức hơn 196 tỷ đồng, giảm 48% so với đầu năm, nhưng vẫn chiếm tới 68% cơ cấu nguồn vốn. Điểm sáng đến từ nợ vay khi đã giảm 65% và chỉ còn 34,8 tỷ đồng. Bên cạnh đó, lỗ lũy kế sau thuế chưa phân phối cuối kỳ ghi nhận 109 tỷ đồng, giảm 10% so với đầu năm.
Minh Minh (t/h)

























